دانلود پروژه ساختمان فولادی 8 طبقه
دانلود پروژه ساختمان فولادی 8 طبقه
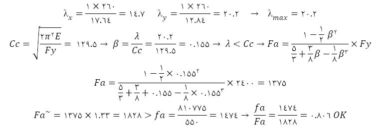
برای دانلود پروژه ساختمان فولادی 8 طبقه شامل فایل های pdf و Etabs و Safe به ادامه مطلب مراجعه کنید. این پروژه برای آقایان اردلان نوروزی، میلاد بخشی و وحید مرادی دانشجویان موسسه آموزش عالی جابربن حیان بوده و در آن محاسبات دستی هم انجام شده است. مشخصات این پروژه:
سیستم سازه ای جهت X = قاب خمشی + بادبند واگرا + اتصال پیچی
سیستم سازه ای جهت Y = قاب مفصلی + دیوار برشی بتنی + اتصال پیچی
سیستم سقف = سقف پیش تنیده پس کشیده CCL
کاربری همکف = پارکینگ
کاربری طبقات = اداری – تجاری + طبقه آخر سالن اجتماعات بدون ستون
پشت بام = شیب دار بدون خرپا
![]()








